北理工主持的国家重点研发计划项目成果发表于环境科学顶级期刊《Global Environmental Change》
发布日期:2018-10-22 供稿:管理与经济学院 摄影:管理与经济学院
编辑:王笑竹 审核:颜志军 阅读次数:
北理工管理与经济学院魏一鸣教授领衔的国家重点研发计划项目(2016YFA0602600)“气候变化经济影响综合评估模式研究”之成果“共享社会经济路径下的社会碳成本”(Social cost of carbon under shared socioeconomic pathways),近日发表于环境科学顶级期刊《Global Environmental Change》。根据Web of Science期刊排名,该期刊在环境研究领域排名第二,仅次于自然子刊《Nature -Climate Change》。文章第一作者杨璞是管理与经济学院硕士研究生,魏一鸣教授和米志付博士是该文的通讯作者。
社会碳成本是衡量二氧化碳排放社会经济影响的重要指标,于2010-2016年被美国政府用于制定减排政策,截至2017年产生的政策受益约一万亿美元。然而该指标的估计存在较大的不确定性,受到未来社会经济,气候损失估计和代际贴现率等指标的影响。尽管研究单独考虑了人口、经济发展、损失和贴现率对社会碳成本的影响,但这些假设在实际中往往相互依存,不能单独进行预测。在此背景下,项目组探讨了社会经济发展路径不确定性对社会碳成本的影响,同时,在不同社会经济发展路径下讨论了气候损失不确定性和代际贴现率不确定性的对社会碳成本的影响。
该研究应用魏一鸣教授团队自主开发的“中国气候变化综合评估模型(China’s Climate Change Integrated Assessment Model,以下简称C3IAM)”,与2018年诺贝尔经济学奖得主诺德豪斯教授开发的DICE模型相结合,用C3IAM结果在SSP路径下重新估计了DICE模型中的减排成本函数,在SSP的社会经济假设下对社会碳成本进行估计和不确定性的讨论。结果表明,社会和国家分化和发展中国家快速发展的社会经济特征将会提高排放的社会成本。
图1. 研究框架
考虑气候损失的不确定性,在减排和适应挑战较高的区域分化发展情景下,2020年平均社会碳成本为45 美元/吨CO2,显著高于其他四种情景下的社会碳成本(10-19美元/吨CO2),并在后期保持较高水平,在2050年增加到108美元/吨CO2。这表明,区域间合作可有效降低社会碳成本;如果世界社会经济条件日益向区域对抗分化方向发展,排放的社会成本将会大幅增加。
图2. SSP路径下社会碳成本的变化(灰色表示不同损失函数下的变化路径)
由于不同的损失函数衡量气候变化影响的范围和时间尺度不同,得到的结果也具有较大差异。一类损失函数突出气候变化后期的不可逆变化,而气候变化前期的社会排碳成本极低甚至为负值。这种负的社会排碳成本可以理解为在温度小幅度上升时,增加单位排放带来的农业增产等正向收益高于导致极端天气的负向损失,能够增加社会福利。而另一类损失函数则将气候变化描绘为连续的渐进式变化,得到的社会碳成本的变化趋势相对平缓。
图3. 九种损失函数下不同社会经济发展路径的社会碳成本变化趋势
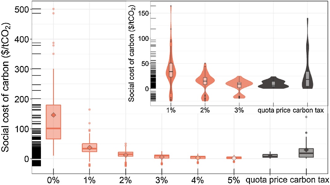
代际贴现率也是影响社会碳成本的关键因素,代际贴现率越大,对未来福利的折减越多,对应的社会碳成本越低。0%-5%的代际贴现率下,2020年社会碳成本呈现指数下降的趋势,平均值分别为146美元/吨CO2,37美元/吨CO2,12美元/吨CO2,5美元/吨CO2,3美元/吨CO2,2美元/吨CO2。在0%的代际贴现率下未来福利的变化对当期决策影响更大,得到的社会碳成本更高。同时,低贴现率放大了未来排放水平、温度和气候损失产生的不确定性,得到的社会排放成本最大值为501美元/吨CO2,最小值为-25美元/吨CO2,相比其他贴现率下的极差最大。
图4. 2020年代际贴现率为0%-5%下的社会碳成本与2017年碳配额价格和碳税的比较
原文链接:http://authors.elsevier.com/c/1XvAC3Q8oP-86e
Pu Yang, Yun-Fei Yao, Zhifu Mi*, Yun-Fei Cao, Hua Liao, Bi-Ying Yu, Qiao-Mei Liang, D'Maris Coffman, Yi-Ming Wei*,2018. Social cost of carbon under shared socioeconomic pathways. Global Environmental Change. 53, pp 225-232.
分享到: